10

Chimeric Conjugates for Alzheimer’s Disease

Illham Dhala • Tabassum Khan • Arati Prabhu

SVKM’s Dr. Bhanuben Nanavati College of Pharmacy, Mumbai, India

Abstract: Alzheimer’s disease is a complex, progressive, neurodegenerative disorder with a multifactorial etiology. More than one mechanism appears to be involved in its pathogenesis. Current treatment targeting only a single mechanism provides only symptomatic relief and is unable to stop the progression of the disease. There is a substantial unmet medical need to develop more efficacious drugs that can address all the causative factors that lead to the development and progression of Alzheimer’s disease. One of the strategies which has emerged is the development of chimeric conjugate compounds, in which multiple bioactive components are combined to form novel molecular entities, that can simultaneously regulate multiple mechanisms effectively. This chapter presents an overview of the various factors contributing to the pathophysiology of Alzheimer’s disease. Chimeric strategies that are being developed to supplement the single-mechanism targeting acetylcholinesterase drugs, which are currently available for the treatment of Alzheimer’s disease, are also exemplified.

Keywords: Alzheimer’s disease; chimeric compounds; cholinesterase inhibitors; hepatotoxic; neuroinflammation

Author for correspondence: Arati Prabhu, Gate No. 1, Mithibai College Campus, V.M. Road, Navpada, Suvarna Nagar, Vile Parle West, Mumbai, Maharashtra 400056, India. Email: arati.prabhu@bncp.ac.in

Doi: https://doi.org/10.36255/exonpublications.alzheimersdisease.2020.ch10

In: Alzheimer’s Disease: Drug Discovery. Huang X (Editor). Exon Publications, Brisbane, Australia. ISBN: 978-0-6450017-0-9; Doi: https://doi.org/10.36255/exonpublications.alzheimersdisease.2020

Copyright: The Authors.

Licence: This open access article is licenced under Creative Commons Attribution-NonCommercial 4.0 International (CC BY-NC 4.0) https://creativecommons.org/licenses/by-nc/4.0/

INTRODUCTION

Dementia can be defined as a clinical syndrome characterized by cognitive impairment that often leads to dependence on others for carrying out basic functions of daily life (1, 2). Alzheimer’s disease (AD) is one of the most prevalent neurodegenerative disorder seen in older individuals, accounting for over 80% of all dementia cases worldwide (1, 2). AD causes structural damage to the brain, which results in substantial functional loss (3). It is a neurological disorder, often characterized by short-term memory impairment, which progresses into cognitive and physical disabilities (4). The etiology of AD is multifactorial with genetic, environmental, behavioral, and developmental components playing a role (5). The greatest risk factor is advancing age, while others include positive family history, head trauma, female gender, history of depression, diabetes mellitus, hyperlipidemia, and vascular factors (5).

In developed countries, the incidence of AD is increasing rapidly along with the aging of populations. The prevalence of AD among 60-year-old individuals is about 1%. This frequency doubles approximately every 5 years, becoming 2% at the age of 65 years, 8% at 75 years, and 16 and 32% at 85 years (4). This disorder may be classified as early and late-onset AD. Early onset AD is typically seen between 30 and 60 years of age and accounts for less than 6% of all cases. Late onset AD accounts for approximately 90% of cases and has an age at onset of more than 60 years (5). The estimated number of patients is 7–8 million in Europe, 4–5 million in the USA, and 24 million worldwide (6). This number is expected to reach around 100 million (one out of every 85 people) by 2050 (7).

AD is a multifaceted disease related with multiple risk factors that have an impact on the emotional and financial status of the patients and their families (3, 8). As per the World Alzheimer Survey 2015, the total health care expenses of the disease including medical services, social support, and informal care were 818 billion dollars with a rise of 35.4% compared with the same survey conducted in 2010. The expense for the treatment of AD for the year 2018 was $1 trillion, which is expected to rise about 2 trillion by the year 2030 (9).

DISEASE AND PATHOLOGY

AD is a complex, self-escalating neurodegenerative disease, which is marked by the presence of beta-amyloid (Aβ)-rich senile plaques and neurofibrillary tangles (NFTs) in the brain (10, 11). The disease is characterized by impairments of memory and cognition, depression, and psychiatric and behavioral changes (12). The diagnosis of AD is confirmed by brain histopathological examination and relies on many clinical factors (4). Cognitive and functional declines are spread over 5–8 years as the disease progresses clinically from mild to moderate to severe AD (4). The mild stage is marked by short-term memory loss and generally lasts for about 2–3 years, which is often followed by symptoms of anxiety and depression (4). Neuropsychiatric manifestations, such as visual hallucinations, false beliefs, and reversal of sleep patterns, are prominent during the moderate stage (4). Motor signs, such as motor rigidity, mark the severe stage of AD (4). Cognitive and functional declines are seen in all three stages of the disease (4). The gross pathology of AD includes generalized cortical atrophy, usually most prominent in the medial temporal lobe and hippocampus (13). AD pathology includes positive and negative signs (14, 15). Positive signs manifest in the form of cerebral Aβ plaques (the major peptide component being Aβ42) and NFTs of paired helical filaments made of hyperphosphorylated microtubule-associated protein tau (MAPτ) (4). These signs are quantified and shape the foundation for diagnostic criteria. Negative signs include neuronal and synaptic losses (14). The chronology of neuronal loss occurs on two levels. There is a local impact after the accumulation of Aβ and aggregation of tau, and there is selective impact on the regions affected by tau pathology (14). Synapse loss is another factor that contributes toward atrophy of the brain cortex. Synaptic loss has been demonstrated in AD patients through immunohistochemical studies, where immunoreactivity to antibodies of pre- or postsynaptic proteins (generally the presynaptic protein synaptophysin) is quantified using electron microscopy studies (16). Negative signs are difficult to evaluate and are not included in the diagnostic criteria, even though they have great physiopathological relevance (14). In recent years, several hypotheses have been proposed in an attempt to explain the pathogenesis of AD. These include the amyloid hypothesis, tau hypothesis, cholinergic hypothesis, oxidative stress hypothesis, and metal ion hypothesis, as depicted in Figure 1.

Fig 1

Figure 1 Pathophysiological mechanisms and multifunctional targeting as an approach for Alzheimer’s disease (AD) treatment. This figure depicts the various hypotheses involved in AD pathology and the role of chimeric conjugates in multifunctional targeting as a new therapeutic strategy for AD.

Amyloid hypothesis

Histopathologically, the two hallmarks of the disease process in AD are extracellular amyloid plaques and intraneuronal tau NFTs, which characterize the dominant amyloid cascade hypothesis (9, 17). Aβ is formed after the proteolytic cleavage of a larger protein, known as the amyloid precursor protein (APP) (3). APP is a glycoprotein comprising of about 770 amino acids and is found primarily in the CNS neurons (9). Activation of APP and subsequent cleavage leads to the formation of oligomers, fibrils, plaques, and β-sheets, ultimately resulting in Aβ aggregation, disruption of cellular communication, and generation of neuroinflammation (3, 18). There are several forms of Aβ, including lower and higher order oligomers and fibrils such as Aβ40 and Aβ42 (3). Aβ42 is the first form that accumulates in the brain and forms amyloid plaques and deposits (3, 19). The two enzymes responsible for APP cleavage are alpha-secretase (α-secretase) and beta-secretase (β-secretase) (3, 20). The α-secretase enzyme combines with the C-83 subunit (non-amyloidogenic pathway) and produces APP-α precursors, which is thought to have neuroprotective effects (3, 21). On the other hand, the β-secretase enzyme combines with the C-99 β-subunit and produces APP-β (amyloidogenic pathway) (3).

Genetic factors also influence Aβ production and deposition. Genetic mutation and polymorphism of presenilin (PSEN1 and PSEN2) elevate the production of Aβ (3, 22).

Amyloid plaques are extracellular deposits of Aβ, abundant in the cortex of AD patients (23). There are two forms of plaques: neuritic and diffuse. Neuritic plaques mainly consist of Aβ and form part of tau-containing dystrophic neurites (13). Neuritic plaques are useful in the pathological diagnosis of AD because their appearance indicates the extent of cognitive impairment (23). Diffuse plaques consist mainly of Aβ-protein (13). Diffuse plaques are generally non-neuritic and are not linked with synaptic loss (23). These forms of plaques are also normally found in the brains of elderly patients with normal cognition, and their presence is not indicative of AD (23). In extracellular regions, Aβ accumulates and forms deposits in the parenchyma and vascular walls, which is denoted as cerebral amyloid angiopathy (CAA) (15). These deposits lead to a threefold increase in the concentration of soluble Aβ and comprise the visible part of Aβ aggregates (15). These soluble, oligomeric Aβ assemblies are highly toxic as well as difficult to identify and analyze (14, 15). These deposits, which are comprised of Aβ42, can be further classified as diffuse, focal, or stellate (15).

Diffuse deposits are large, about 50 µm in size or larger, and are generally seen in patients where there is no cognitive impairment, leading to the conclusion that these lesions are not directly toxic (15). Such deposits are typically seen in the striatum and the molecular layer of the cerebellum (14, 16). Focal deposits are characterized by dense, spheroid aggregation of Aβ. Few microglial cells are located in the area around the focal deposit that contains the amyloid plaque core. Astrocytes are located far away from the core and are involved in the processes of differentiation of neuronal stem cells without affecting neuronal or oligodendrocyte differentiation (16, 24). Stellate deposits are generally linked to astrocytes and are seldom observed and rarely examined (15). Aβ may build up in the walls of blood vessels, primarily in the arteries and capillaries, but seldom in the veins leading to CAA. CAA is characterized mainly by the presence of Aβ-40, which is frequently seen in the parenchymal deposits and is more soluble than Aβ-42 (14). Some degree of CAA, usually mild, is present in approximately 80% of AD patients (23).

Tau hypothesis

Tau is an MAP found in the axon, where it attaches and stabilizes the microtubules, thereby physiologically promoting axonal transport (23). In AD, tau is translocated to the somato-dendritic component, where it hyperphosphorylates, misfolds, and forms aggregates, leading to the formation of NFTs and neuropil threads (23). The effects of tau in neurodegeneration are less well established (25). However, aggregation of phosphorylated tau in dendritic spines appears to disrupt synaptic plasticity (14). In the cellular body of the neurons, tau aggregates form NFTs and neuropil threads in the dendrites and axons, which surround the core of the senile plaque (14). NFTs are hyperphosphorylated and misfolded tau intraneuronal aggregates, which become extraneuronal or “ghost tangles” with the death of the neurons carrying the tangles. NFT progression occurs in a stereotypical spatiotemporal way, which is linked with the decline in cognitive function (23). These are axonal and dendritic segments consisting of aggregated and hyperphosphorylated tau and are typically related with the NFTs in the brain (23).

The tau protein has a significant role to play in microtubule stabilization, which is important for maintaining cell integrity (3). The major structural domains of the tau proteins include the N-terminal projection domain, a microtubule-binding domain at the C-terminus, and a short sequence encompassing the tail domain (3). Tau proteins are hyperphosphorylated and form insoluble intracellular NFTs in AD, which lose the tenacity to bind the microtubules of brain cells. These hyperphosphorylated forms bind to each other, tying themselves in knots called NFTs that disrupt neuronal plasticity and cause neurodegeneration. Tau–tau interactions and its hyperphosphorylation in AD trigger a cascade of events in the microglial cells and astrocytes, activating the NF-kB pathway and overproduction of proinflammatory mediators such as TNF-α and interleukins (ILs), resulting in inflammatory reactions in brain (3). The elimination of tau is far more complicated compared to others like Aβ (3). It has been shown via PET imaging that deposition of tau has a greater correlation with the decline of cognitive functions than deposition of Aβ (26).

Cholinergic hypothesis

The cholinergic hypothesis was the first established theory proposed to explain the pathogenesis and development of AD (9). In addition to the histopathological markers, the brain of AD patients is usually characterized by atrophy, synaptic loss, and decline in central neurotransmission (9) along with degeneration of neurons of the basal forebrain (9, 27). Cholinergic neurons are affected in the initial phase of the disease with greater than 90% of cholinergic neurons being lost in the advanced stages (9). Per this theory, the development of all symptoms related to impaired cognition in AD is due to the disruption of cholinergic neurons in the basal forebrain, along with loss of central cholinergic transmission (9).

Oxidative stress hypothesis

Free radicals play an important role in the progression of neurodegeneration (3). Neuronal cells are more susceptible to free radical damage because of greater oxygen content and lack of antioxidant enzymes when compared with other organs (3). There is clear evidence that oxidative stress induced by Aβ is critical to the pathogenesis and progression of AD, leading to exacerbation of inflammatory processes, which is a characteristic of many multifactorial diseases including AD (9). The mitochondrial membranes of the AD postmortem brain have demonstrated that Aβ and APP cause disruption of electron transport chain, thereby promoting irreversible neurodegeneration and cellular damage (3, 28).

Metal ion hypothesis

Metal dyshomeostasis is involved in the progression of AD (29). Development of Aβ plaques and NFT is aggravated by the aberrant accumulation of metals in the brains of AD patients (30). High concentrations of Cu and Fe in the brain trigger the production of reactive oxygen species, which further exacerbates oxidative stress, thereby leading to worsening of AD (31, 32). Thus, a useful therapeutic strategy to mitigate AD would be to decrease the abnormal load of metal ions in the brain by chelating them (33).

CURRENT LINE OF TREATMENT

AD is a complex disease, and hence difficult to treat with a single medication or therapy (34). The current line of treatment functions by modulating the levels of specific brain neurotransmitters such as acetylcholine and glutamate (34). These are helpful in retaining thoughts, cognitive functions, and social skills and can mitigate behavioral issues to a certain extent (34). However, these approaches do not address the root cause of the disease. The U.S. Food and Drug Administration (US-FDA) has approved several drugs to provide symptomatic relief in AD (34). Existing drugs employed for the symptomatic treatment of AD can be divided into two major classes: acetylcholinesterase (AChE) inhibitors such as donepezil, rivastigmine, galantamine, and tacrine and N-methyl-D-aspartate (NMDA) antagonists (glutamate inhibitor) such as memantine.

Acetylcholinesterase inhibitors

Cholinesterase inhibitors (ChEIs) are generally used for long-term symptomatic treatment for AD (35). ChEIs are the only class of drugs approved by FDA for the symptomatic treatment of AD that can alter cholinergic neurotransmission and these include donepezil, rivastigmine, galantamine, and tacrine (4). To date, ChEIs are the only drugs that have shown significant improvements in cognition of AD patients by improving the cholinergic transmission in neuronal synapses. ChEIs slow down the degradation of the choline neurotransmitters at the synaptic clefts by inhibiting the cholinesterase enzymes, AChE, and butyrylcholinesterase (BuChE), which are responsible for the choline neurotransmitter degradation (9). These enzymes are abundant in neuritic plaques and can be inhibited by ChEIs; this may alter the build-up of Aβ, which is a critical part of AD pathophysiology (4). ChEIs increase cholinergic functions in AD at the postsynaptic cholinergic neuron (35). This class of drugs decreases AChE-induced destruction of ACh in the synaptic cleft, elevates the intrasynaptic residence time of acetylcholine, and promotes interaction between acetylcholine and the postsynaptic cholinergic receptor (35). Thus, to inhibit them, ChEIs increase the availability of these neurotransmitters in the synaptic cleft, thereby reducing the symptoms of AD (9).

AChE is also partially involved in the production of amyloid plaques and neurofibrillary tangles (34). AChE acts as an influencer to help in aggregating clusters of Aβ peptides, resulting in the formation of complexes with mature fibrils (34). The newly formed complexes are more cytotoxic in comparison to Aβ fibrils alone. ChEIs increase the levels of ACh in the brain of AD patients (34). Evidence derived from clinical trials, imaging, and basic science studies indicates that ChEIs are useful for symptomatic treatment but have limited disease-modifying effects (35).

Donepezil is a piperidine-derivative AChE inhibitor drug, which increases the levels of acetylcholine in the CNS (9, 36). It has shown moderate benefit in the treatment of AD patients due to its modest and transient outcomes (36, 37). It is effective in managing the symptoms of AD-associated dementia. However, it does not alter the progression of AD (38). Donepezil is metabolized via the cytochrome P-450 system and has the tendency of being involved in drug–drug interactions, especially when used in combination (9).

Rivastigmine, a physostigmine-derived drug, is the only carbamate containing AChE inhibitor approved for the treatment of mild to moderate AD (9, 39). It improves cognition and shows neuroprotective effects, but does not alter the course of disease and only leads to a modest improvement in cognitive functions. This drug shows good activity and tolerance in AD patients and is not involved in the cytochrome P-450 system metabolism, thereby decreasing the chances of drug–drug interactions (9).

Galantamine is a tertiary alkaloid extracted from various species of Amaryllidaceae (9). It is a selective, competitive, and reversible inhibitor of AChE with nicotinic-modulating properties, has low hepatotoxicity (9), and reduces APP metabolism in animal models of AD (35). However, its involvement in cytochrome P-450 metabolism makes it prone to interaction with other drugs (9).

Tacrine, a dual AChE and BuChE inhibitor, was the first of its kind to get FDA approval for the treatment of AD. It was withdrawn from the market shortly after FDA approval due to serious hepatotoxicity (40). Tacrine is a noncompetitive, reversible inhibitor of AChE, which has a short half-life (9).

N-methyl D-aspartate receptor antagonism (NMDA antagonists)

Overstimulation of the NMDA receptor by the neurotransmitter glutamate is implicated in neurodegenerative disorders (4). Glutamate is the principal excitatory neurotransmitter in the brain (4). The overstimulation of glutamate has been known to contribute to neuronal damage, which is termed as excitotoxicity (4). Such excitotoxicity eventually contributes to neuronal calcium overload and has been implicated in neurodegenerative diseases (4). Glutamate activates several postsynaptic receptors, including the NMDA receptor, which have a direct impact on the memory processes, dementia, and in the pathogenesis of AD (4).

The FDA-approved NMDA antagonist memantine decreases glutaminergic excitotoxicity by influencing neuronal activity in the hippocampus and can be used in the treatment of moderate to severe AD (35). Memantine is approved as an alternative to ChEIs in treatment of moderate to severe AD (25). Memantine at high concentrations can suppress synaptic plasticity, which is believed to have an effect on learning and memory. However, at lower concentrations, memantine can promote synaptic plasticity, thereby enhancing memory in animal models of AD (4). Memantine also has the potential to enhance long-term potentiation and decrease tau hyperphosphorylation (17). The neurobiological basis for the therapeutic action of memantine in AD is not clearly known. Memantine is a noncompetitive NMDA receptor antagonist with moderate affinity and fast on/off kinetics (4). These attributes are vital for memantine action as it is able to balance the effects of excessive glutamate levels while preserving physiologic activation of NMDA receptors necessary for learning and memory (4). Memantine inhibits the effects of excessive glutamate production, which contributes to cell death and cognitive impairment (4).

RATIONALE FOR CHIMERIC CONJUGATES

The current FDA-approved drugs addressing a single mechanism have turned out to be palliative rather than curative. By addressing just the cholinergic hypothesis, they only provide temporary relief for the patients by improving their cognitive functionality throughout the time period of usage (41, 42). There is a critical need to add antioxidant, metal chelation, neuroprotective, Aβ1–42 amyloid anti-aggregation, and anti-inflammatory activities into the compounds. Such molecules that can address all the hypotheses of AD will likely yield significant disease-modifying outcomes.

The multifaceted, complex nature of AD has limited the treatment options in the battle against the disease. One of the ways of tackling this problem is to expand the scope of single-mechanism targeting drugs to form multi-targeting chimeric entities (43). The multi-target directed ligand (MTDL) design strategy is a method where a molecule is designed by simultaneously integrating multiple functionalities into it that can target different mechanisms crucial to the disease pathology (44). These chimeric conjugates are created by molecular hybridization of different biologically relevant pharmacophores (45). Each pharmacophore of the new chimeric molecule retains the ability to interact with its own target while the chimeric molecule simultaneously modulates multiple molecular targets, thereby producing a range of diverse pharmacological responses (4547). Such engineered chimeric compounds simultaneously target many of the implicated pathways of the disease, thereby yielding a disease-modifying effect (48, 49). In addition, these compounds potentially have a lower risk of triggering drug–drug interactions and facilitate pharmacodynamic and pharmacokinetic roles of drug administration (46, 47). AChE inhibitors like donepezil, rivastigmine, and tacrine have been used as starting points and combined with several bioactive molecules to generate chimeric series, which have demonstrated expanded efficacy and safety profiles. The hybrid series were designed so as to retain the key structural features essential for retaining AChE inhibition of the parent molecules.

Donepezil-related derivatives as multifunctional compounds for AD

The structure of donepezil shows the presence of benzyl piperidine and substituted indanone fragments linked via a methylene bridge (Figure 2, left panel). The binding pose of donepezil within the AChE pocket as seen in the X-ray diffraction-elucidated crystal structure (PDB id 4EY7) shows the interaction of the benzyl piperidine fragment with the catalytic site of AChE (50). This fragment has been nominated as a crucial pharmacophoric subunit of donepezil. The indanone moiety binds to the peripheral anionic site of the AChE pocket and forms aromatic stacking interactions (50). The benzyl piperidine fragment of donepezil has been hybridized with various bioactive groups in order to introduce other activities into the molecule so as to make them more effective for the holistic treatment of AD. Aryl acyl hydrazones possess anti-inflammatory activity, which has been shown to slow down the progression of AD. Donepezil-aryl acyl hydrazone chimeras were constructed (51) by attaching the aryl-acyl hydrazone sidechain to the benzyl end of N-benzyl piperidine of donepezil (Figure 2, right panel).

Fig 2

Figure 2 Left panel—donepezil with its pharmacophoric unit boxed in blue; right panel—donepezil-aryl acyl hydrazone hybrids. Various donepezil-aryl acyl hydrazone chimeras have been constructed by conjugating the pharmacophoric unit of donepezil with substituted phenyl acyl hydrazones.

The donepezil-derived hybrid molecules were screened for AChE inhibition according to the spectrophotometric method developed by Ellman (52). Replacement of the dimethoxy indanone fragment of donepezil with various ring-substituted aryl acyl hydrazones gave molecules that exhibited comparable AChE inhibition. In-depth structure–activity correlation studies showed that compounds that had the 3-hydroxy piperidine moiety were more active than the molecules where the 3-hydroxy group was acetylated. Substitutions on the aromatic ring on the other side of the molecule with groups like nitro (1a) and piperidine (1b) resulted in molecules that were more potent relative to the unsubstituted compound (51). Halogen substitution gave a threefold increase in activity as compared to the unsubstituted molecule with the fluoro analogue (1c) being more potent than bromo (1d) and chloro (1e) derivatives (51). The placement of the benzyl piperidine fragment in the chimeric series with the piperidine ring placed at the terminal end was opposite to that in donepezil. It is possible that by reversing the placement of benzyl piperidine fragment, the hybrid molecules were able to find an alternate binding orientation in the AChE binding pocket, which resulted in their enhanced activity profiles.

Suppression of the neuroinflammation process is an effective therapeutic approach against AD. The donepezil-aryl acyl hydrazone chimeric molecules were tested for their in vivo anti-inflammatory activities using classical animal models such as mechanical allodynia test, formalin-induced hyperalgesia, and carrageenan-induced paw oedema assays (51). Halogens (1c, 1e) and methoxy-substituted hybrid molecules (1f) as well as compounds substituted with rings such as piperidine (1b) and morpholine (1g) (Figure 2) significantly reduced mechanical hyperalgesia index, decreased licking time in the formalin test pointing to an analgesic effect, and reduced oedema volume, thereby confirming an anti-inflammatory effect (51).

The halogen-substituted compounds (1c, 1e) were found to inhibit the release of TNF-α and IL-1β induced by lipopolysaccharides (LPS) in THP-1 cells, which are representative of human microglial cells (51). THP-1 cells were treated with 10 µM of the compounds and LPS (1 µg/ml) for 24 h. At the end of the treatment, it was concluded that both halogen-substituted compounds reduce evoked neuroinflammation (51).

Rivastigmine-related derivatives as multifunctional compounds for AD

Rivastigmine, a carbamate-containing AChE inhibitor, has been found to provide only mild to moderate benefit in patients with AD (39). The carbamate moiety is the pharmacophore subunit of rivastigmine (Figure 3, left panel), which binds to the catalytic site of AChE and is responsible for its ChEI activity (53). Rivastigmine chimeras with amino chalcones with promising cholinesterase inhibition activity are shown in Figure 3 (right panel). Xiao et al. worked on developing rivastigmine-4 amino chalcone hybrids and conducted in-depth structure–activity correlation studies for the series (54).

Fig 3

Figure 3 Left panel—rivastigmine with its pharmacophoric unit boxed in blue; right panel—rivastigmine-aryl acyl hydrazone hybrids. Various rivastigmine-aminochalcone chimeras have been constructed by conjugating the pharmacophoric unit of rivastigmine with substituted amino chalcones.

Several of the rivastigmine-derived compounds showed potent AChE inhibition. Structure–activity correlation studies revealed that compounds with cyclic amine groups (2b, 2c, 2d) at one or both extremities of the molecule show better inhibitory activity as compared with those with noncyclic amine groups (2a). Pyrrolidine ring-substituted compound 2b was twice as potent as rivastigmine, while morpholine ring-substituted compound 2e (Figure 3) was the weakest inhibitor of AChE (54). The authors surmised that the electron-withdrawing inductive effect of the oxygen atom on the morpholine ring may decrease the electron density of the ring nitrogen, thereby influencing its protonation at physiological pH, which could diminish the cation–π interaction between the nitrogen and residues of the catalytic active site of AChE (54).

The antioxidant activity for rivastigmine-amino chalcone hybrids was evaluated by the oxygen radical absorbance capacity assay involving fluorescein. Compounds containing a pyrrolidine ring (2b), N-methylethaneamine (2f), and benzyl piperazine ring (2g) as substituents were found to exhibit the most potent antioxidant activities. 4-Dimethylamine chalcone–rivastigmine hybrid molecule (2a) showed moderate antioxidant activity, while replacement with other amino alkyl groups resulted in loss of antioxidant activity. The authors concluded that dimethylamine substitution at para position is favorable for antioxidant potency (54).

The 2-hydroxy and ketone groups of rivastigmine-amino chalcone chimeras undergo intramolecular hydrogen bonding as they exhibit metal-chelating properties. Xiao et al. found that compound 2b (Figure 3) exhibited selective metal chelation for copper and aluminium but not iron and zinc metal ions (54).

The effects of the rivastigmine-amino chalcone hybrid molecules on Aβ aggregation were evaluated by performing thioflavin T (ThT) fluorescence assay using curcumin as a reference standard. Structural studies concluded that noncyclic amines 2a and 2f (Figure 3) exhibited the most potent inhibition effects on self-induced Aβ aggregation, while the N-benzyl piperazine containing analogue (2g, Figure 3) showed the best Cu2+-induced Aβ aggregation inhibition. Besides this, bulky substituents on the hydroxy group at 2-position on the chalcone fragment lowered the anti-aggregation effects (54).

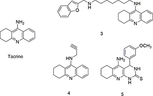
Tacrine analogues with decreased liability of hepatotoxicity

Tacrine, an acridine analogue, was the first centrally acting ChEI approved for the treatment of AD. It is a reversible, noncompetitive inhibitor of AChE and BuCHE. It also possesses the ability to reduce Aβ-induced neurotoxicity. Despite it benefits, tacrine is poorly tolerated and often causes reversible abnormalities in liver enzymes. Nevertheless, its inherent efficacy and small molecular weight have attracted a lot of research directed toward the development of MTDLs. The whole molecule of tacrine (Figure 4, left panel) has been used as a starting point and fused with hepatoprotective scaffolds, leading to the development of safe, efficacious tacrine hybrids (55). Tacrine derivatives coupled to fragments that help counter its hepatotoxicity are shown in Figure 4 (right panel).

Fig 4

Figure 4 Tacrine hybrids with reduced hepatotoxicity. Several tacrine chimeras have been constructed by conjugating tacrine with various hepatoprotective moieties.

Zha et al. developed tacrine-benzofuran chimeric molecules in an attempt to combine the AChE inhibitory properties of tacrine and the in vitro inhibitory effects on Aβ fibril formation and aggregation reported for the benzofuran nucleus (56). The most active designed molecule, compound 3 (Figure 4), showed nanomolar inhibitory potency against AChE, as well as an ability to partially inhibit AChE-induced Aβ fibril formation and amyloid self-aggregation (56). This compound demonstrated mixed inhibitory behavior in an enzyme kinetics study pointing to dual binding interaction sites (56). This was confirmed by the authors by determining the three-dimensional form of the AChE-bound structure of this compound through X-ray diffraction studies (56). The tacrine fragment was seen to occupy its place at the catalytic site, engaging in stacking interactions with Trp 84 and Phe 330 and hydrogen bonding interactions with His 440 of the catalytic triad of AChE, while the methyl benzofuran was found to make contact with the peripheral anionic site where it is accommodated within a pocket of hydrophobic residues (56). In addition, compound 3 had a better safety profile and showed significantly lower hepatotoxicity than tacrine when tested with the alanine aminotransferase and aspartate aminotransferase activity assays (56).

Mao et al. synthesized a number of tacrine-propargylamine derivatives, inspired by propargylamine-containing compounds, which exhibit neuroprotective effects (40). These compounds were tested for AChE inhibition and neurotoxicity (40). In addition, they were evaluated for hepatotoxicity in human hepatic stellate cells using the colorimetric MTT assay (40). It was reported that compound 4 (Figure 4) exhibited superior AChE inhibition and lower neurotoxicity than tacrine. In addition, it almost eliminated the hepatotoxicity of tacrine (40). Kinetic studies were also carried out on this compound, which pointed to a mixed type of enzyme inhibitory behavior. It is possible that extending the tacrine amine with the lipophilic propargyl group endowed the molecule with additional binding opportunities within the AChE enzyme, resulting in a twofold improvement in AChE inhibition. Such tacrine chimeras, which have excellent AChE inhibition and neuroprotective effects without the hepatotoxicity of tacrine, can be used as potential lead compounds for the treatment of AD (40).

Chioua et al. designed a series of tacripyrimidines by coupling the ChEI tacrine moiety to derivatives of 3,4-dihydro dihydropyrimidin-2(1H)-thiones, which are known calcium channel blockers (CCBs) (57). CCBs enhance cerebrovascular perfusion and attenuate amyloid-β-induced neuronal decline and neurotoxicity, improve cell survival in the presence of Aβ in vitro, and show neuroprotective effects (57). Derivatives bearing halogens (Br, Cl) at meta and para position of the aromatic ring of the dihydropyrimidine-thiones demonstrated the highest inhibitory potencies toward AChE, while the presence of a 4-dimethylamino group or 3-nitro group was found to be the best CCBs, with potencies higher than that of the reference CCB drug nimodipine (57). Tacripyrimidine compound 5 (Figure 4) had the most balanced overall biological profile. It had low micromolar AChE inhibitory potency as well as calcium channel blocking activity and had no significant hepatotoxicity toward HepG2 cells up to 300 mM and excellent predicted oral absorption and BBB permeability (57).

CONCLUSION

The currently available FDA-approved drugs for the treatment of AD are limited by the fact that they target only a single mechanism in the development of this multifactorial disease with extremely complex pathophysiology. Several molecules with antioxidant, anti-inflammatory, and neuroprotective properties are known. Conjugation of these molecules with the currently available, FDA-approved ChEIs to form molecular chimeras has been shown to expand their anti-AD spectrum, thereby creating entities that have the potential for development as disease-modifying therapies for AD.

Conflict of Interest: The authors declare no potential conflict of interest with respect to research, authorship, and publication of this chapter.

Copyright and Permission Statement: To the best of our knowledge, the materials included in this chapter do not violate copyright laws. All original sources have been appropriately acknowledged and referenced. Where relevant, appropriate permissions have been obtained from the original copyright holder(s).

REFERENCES

  1. Tobore Onojighofia Tobore. On the etiopathogenesis and pathophysiology of Alzheimer’s disease: A comprehensive theoretical review. J Alzheimers Dis. 2019;68(2):417–37. http://dx.doi.org/10.3233/JAD-181052
  2. Qiu C, Kivipelto M, Von Strauss E. Epidemiology of Alzheimer’s disease: Occurrence, determinants, and strategies toward intervention. Dialogues Clin Neurosci. 2009;11(2):111–28.
  3. Sharma P, Srivastava P, Seth A, Tripathi PN, Banerjee AG. Comprehensive review of mechanisms of pathogenesis involved in Alzheimer’s disease and potential therapeutic strategies. Prog Neurobiol. 2019;174(December 2018):53–89. http://dx.doi.org/10.1016/j.pneurobio.2018.12.006
  4. Silvestrelli G, Lanari A, Parnetti L. Treatment of Alzheimer’s disease: From pharmacology to a better understanding of disease pathophysiology. Mech Ageing Dev. 2006;127:148–57. http://dx.doi.org/10.1016/j.mad.2005.09.018
  5. Anand R, Gill KD, Mahdi AA. Neuropharmacology therapeutics of Alzheimer’s disease: Past, present and future. Neuropharmacology. 2014;76(Pt A):27–50. http://dx.doi.org/10.1016/j.neuropharm.2013.07.004
  6. Roland JR, Jacobsen H. Alzheimer’s disease: From pathology to therapeutic approaches. Angew Chem Int Ed. 2009;48(17):3030–59. http://dx.doi.org/10.1002/anie.200802808
  7. González JF, Alcántara AR, Doadrio AL, María J, González JF, Alcántara AR. Developments with multi-target drugs for Alzheimer’s disease: An overview of the current discovery approaches current discovery approaches. Expert Opin Drug Discov. 2019;14(9):879–91. http://dx.doi.org/10.1080/17460441.2019.1623201
  8. Huang Y, Mucke L. Alzheimer mechanisms and therapeutic strategies. Cell. 2012;148(6):1204–22. http://dx.doi.org/10.1016/j.cell.2012.02.040
  9. Ozela PF, Padilha EC, Braga FS. Alzheimer’s disease: A review from the pathophysiology to diagnosis, new perspectives for pharmacological treatment. Curr Med Chem. 2018;25(26):3141–59. http://dx.doi.org/10.2174/0929867323666161213101126
  10. Sun Y, Chen J, Chen X, Huang L, Li X. Inhibition of cholinesterase and monoamine oxidase-B activity by Tacrine-Homoisoflavonoid hybrids. Bioorganic Med Chem. 2013;21(23):7406–17. http://dx.doi.org/10.1016/j.bmc.2013.09.050
  11. Araújo JQ, Lima JA, Pinto ADC, De Alencastro RB, Albuquerque MG. Docking of the alkaloid geissospermine into acetylcholinesterase: A natural scaffold targeting the treatment of Alzheimer’s disease. J Mol Model. 2011;17(6):1401–12. http://dx.doi.org/10.1007/s00894-010-0841-2
  12. Calcul L, Zhang B, Jinwal UK, Dickey CA, Baker BJ. Natural products as a rich source of tau-targeting drugs for Alzheimers disease. Future Med Chem. 2012;4(13):1751–61. http://dx.doi.org/10.4155/fmc.12.124
  13. Pressman P, Rabinovici GD, San C, Francisco S. Alzheimer’s disease. Encycl Neurol Sci. 2014;1:91–6. http://dx.doi.org/10.1016/B978-0-12-385157-4.00475-9
  14. Garciduenas-Ana Laura Calderon DC. Alzheimer’s disease. Handb Clin Neurol. 2018;145(3rd series):325–37. http://dx.doi.org/10.1016/B978-0-12-802395-2.00023-7
  15. Benoı CDÆ, Potier M. Classification and basic pathology of Alzheimer disease. Acta Neuropathol. 2009;118(1):5–36. http://dx.doi.org/10.1007/s00401-009-0532-1
  16. Jellinger KA. Alzheimer’s disease. In: Gilman S, editors. Neurobiol Dis. 2007;1047–85. http://dx.doi.org/10.1016/B978-012088592-3/50008-6
  17. Tayeb HO, Duk H, Price BH, Tarazi FI. Pharmacology & therapeutics pharmacotherapies for Alzheimer’s disease: Beyond cholinesterase inhibitors. Pharmacol Ther. 2012;134(1):8–25. http://dx.doi.org/10.1016/j.pharmthera.2011.12.002
  18. O’Brien RJ, Wong PC. Amyloid precursor protein processing and Alzheimer’s disease. Annu Rev Neurosci. 2011;34:185–204. http://dx.doi.org/10.1146/annurev-neuro-061010-113613
  19. Morgan C, Colombres M, Nuñez MT, Inestrosa NC. Structure and function of amyloid in Alzheimer’s disease. Prog Neurobiol. 2004;74(6):323–49. http://dx.doi.org/10.1016/j.pneurobio.2004.10.004
  20. Thinakaran G, Koo EH. Amyloid precursor protein trafficking, processing, and function. J Biol Chem. 2008;283(44):29615–19. http://dx.doi.org/10.1074/jbc.R800019200
  21. Kojro E, Fahrenholz F. The non-amyloidogenic pathway: Structure and function of alpha-secretases. Subcell Biochem. 2005;38:105–27. http://dx.doi.org/10.1007/0-387-23226-5_5
  22. Hardy J. The amyloid hypothesis for Alzheimer’s disease: A critical reappraisal. J Neurochem. 2009;110(4):1129–34. http://dx.doi.org/10.1111/j.1471-4159.2009.06181.x
  23. Serrano-Pozo A, Frosch MP, Masliah E, Hyman BT. Neuropathological alterations in Alzheimer disease. Cold Spring Harb Perspect Med. 2011;1(1):1–23. http://dx.doi.org/10.1101/cshperspect.a006189
  24. Guo Y, Wei Q, Huang Y, Xia W, Zhou Y, Wang S. The effects of astrocytes on differentiation of neural stem cells are influenced by knock-down of the glutamate transporter, GLT-1. Neurochem Int. 2013;63(5):498–506. http://dx.doi.org/10.1016/j.neuint.2013.08.003
  25. Jolla L, States U, Jolla L, States U. Alzheimer’s disease. Handb Clin Neurol. 2019;167(3rd series):231–55.
  26. James OG, Doraiswamy PM, Borges-Neto S. PET imaging of tau pathology in Alzheimer’s disease and tauopathies. Front Neurol. 2015;6(Mar):1–4. http://dx.doi.org/10.3389/fneur.2015.00038
  27. Racchi M, Mazzucchelli M, Porrello E, Lanni C, Govoni S. Acetylcholinesterase inhibitors: Novel activities of old molecules. Pharmacol Res. 2004;50(4):441–51. http://dx.doi.org/10.1016/j.phrs.2003.12.027
  28. Reddy PH, Beal MF. Amyloid beta, mitochondrial dysfunction and synaptic damage: Implications for cognitive decline in aging and Alzheimer’s disease. Trends Mol Med. 2008;14(2):45–53. http://dx.doi.org/10.1016/j.molmed.2007.12.002
  29. Thakur AK, Kamboj P, Goswami K, Ahuja K. Pathophysiology and management of Alzheimer’s disease: An overview. J Anal Pharm Res. 2018;9(2):226–35. http://dx.doi.org/10.15406/japlr.2018.07.00230
  30. Barnham KJ, Bush AI. Metals in Alzheimer’s and Parkinson’s diseases. Curr Opin Chem Biol. 2008;12(2):222–8. http://dx.doi.org/10.1016/j.cbpa.2008.02.019
  31. Amit T, Avramovich-Tirosh Y, Youdim MBH, Mandel S. Targeting multiple Alzheimer’s disease etiologies with multimodal neuroprotective and neurorestorative iron chelators. FASEB J. 2008;22(5):1296–305. http://dx.doi.org/10.1096/fj.07-8627rev
  32. Zheng H, Youdim MBH, Fridkin M. Site-activated multifunctional chelator with acetylcholinesterase and neuroprotective-neurorestorative moieties for Alzheimer’s therapy. J Med Chem. 2009;52(14):4095–8. http://dx.doi.org/10.1021/jm900504c
  33. Zhang C, Du QY, Chen LD, Wu WH, Liao SY, Yu LH, et al. Design, synthesis and evaluation of novel tacrine-multialkoxybenzene hybrids as multi-targeted compounds against Alzheimer’s disease. Eur J Med Chem. 2016;116:200–9. http://dx.doi.org/10.1016/j.ejmech.2016.03.077
  34. Anand A, Patience AA, Sharma N, Khurana N. The present and future of pharmacotherapy of Alzheimer’s disease: A comprehensive review. Eur J Pharmacol. 2017;815(August):364–75. http://dx.doi.org/10.1016/j.ejphar.2017.09.043
  35. Salloway S, Mintzer J, Weiner MF, Cummings JL. Disease-modifying therapies in Alzheimer’s disease*. Alzheimers Dementia. 2008;4:65–79. http://dx.doi.org/10.1016/j.jalz.2007.10.001
  36. Wang ZM, Cai P, Liu QH, Xu DQ, Yang XL, Wu JJ, et al. Rational modification of donepezil as multifunctional acetylcholinesterase inhibitors for the treatment of Alzheimer’s disease. Eur J Med Chem. 2016;123:282–97. http://dx.doi.org/10.1016/j.ejmech.2016.07.052
  37. Darreh-Shori T. Effects of cholinesterase inhibitors on the activities and protein levels of cholinesterases in the cerebrospinal fluid of patients with Alzheimer’s disease: A review of recent clinical studies. Curr Alzheimer Res. 2009;999:1–6. http://dx.doi.org/10.2174/1567209198607252050
  38. Kumar A, Sharma S. Donepezil. StatPearls Treasure Island (FL): StatPearls Publishing. 2020.
  39. Sang Z, Li Y, Qiang X, Xiao G, Liu Q, Tan Z, et al. Multifunctional scutellarin-rivastigmine hybrids with cholinergic, antioxidant, biometal chelating and neuroprotective properties for the treatment of Alzheimer’s disease. Bioorganic Med Chem. 2015;23(4):668–80. http://dx.doi.org/10.1016/j.bmc.2015.01.005
  40. Mao F, Li J, Wei H, Huang L, Li X. Tacrine-propargylamine derivatives with improved acetylcholinesterase inhibitory activity and lower hepatotoxicity as a potential lead compound for the treatment of Alzheimers disease. J Enzyme Inhib Med Chem. 2015;30(6):995–1001. http://dx.doi.org/10.3109/14756366.2014.1003212
  41. Abeysinghe AADT, Deshapriya RDUS, Udawatte C. Alzheimer’s disease: a review of the pathophysiological basis and therapeutic interventions. Life Sci. 2020;256:117996. http://dx.doi.org/10.1016/j.lfs.2020.117996
  42. Seltzer B. Is long-term treatment of Alzheimer’s disease with cholinesterase inhibitor therapy justified? Drugs Aging. 2007;24(11):881–90. http://dx.doi.org/10.2165/00002512-200724110-00001
  43. Santos MA, Chand K, Chaves S. Recent progress in multifunctional metal chelators as potential drugs for Alzheimer’s disease. Coord Chem Rev. 2016;327–328:287–303. http://dx.doi.org/10.1016/j.ccr.2016.04.013
  44. Singh M, Kaur M, Chadha N, Silakari O. Hybrids: A new paradigm to treat Alzheimer’s disease. Mol Divers. 2016;20(1):271–97. http://dx.doi.org/10.1007/s11030-015-9628-9
  45. Gong CX, Liu F, Iqbal K. Multifactorial hypothesis and multi-targets for Alzheimer’s disease. J Alzheimers Dis. 2018;64(Suppl. 1):S107–17. http://dx.doi.org/10.3233/JAD-179921
  46. Singh M, Kaur M, Kukreja H, Chugh R, Silakari O, Singh D. Acetylcholinesterase inhibitors as Alzheimer therapy: From nerve toxins to neuroprotection. Eur J Med Chem. 2013;70:165–88. http://dx.doi.org/10.1016/j.ejmech.2013.09.050
  47. Schmitt B, Bernhardt T, Moeller HJ, Heuser I, Frölich L. Combination therapy in Alzheimer’s disease: A review of current evidence. CNS Drugs. 2004;18(13):827–44. http://dx.doi.org/10.2165/00023210-200418130-00001
  48. Bajda M, Guzior N, Ignasik M, Malawska B. Multi-target-directed ligands in Alzheimer’s disease treatment. Curr Med Chem. 2011;18(32):4949–75. http://dx.doi.org/10.2174/092986711797535245
  49. Pisani L, Catto M, Leonetti F, Nicolotti O, Stefanachi A, Campagna F, et al. Targeting monoamine oxidases with multipotent ligands: An emerging strategy in the search of new drugs against neurodegenerative diseases. Curr Med Chem. 2012;18(30):4568–87. http://dx.doi.org/10.2174/092986711797379302
  50. Cheung J, Rudolph MJ, Burshteyn F, Cassidy MS, Gary EN, Love J, et al. Structures of human acetylcholinesterase in complex with pharmacologically important ligands. J Med Chem. 2012;55(22):10282–6. http://dx.doi.org/10.1021/jm300871x
  51. Dias Viegas FP, de Freitas Silva M, Divino da Rocha M, Castelli MR, Riquiel MM, Machado RP, et al. Design, synthesis and pharmacological evaluation of N-benzyl-piperidinyl-aryl-acylhydrazone derivatives as donepezil hybrids: Discovery of novel multi-target anti-alzheimer prototype drug candidates. Eur J Med Chem. 2018;147:48–65. http://dx.doi.org/10.1016/j.ejmech.2018.01.066
  52. Ellman GL, Courtney KD, Andres V, Featherstone RM. A new and rapid colorimetric determination of acetylcholinesterase activity. Biochem Pharmacol. 1961;7(2):88–95. http://dx.doi.org/10.1016/0006-2952(61)90145-9
  53. Bacalhau P, San Juan AA, Goth A, Caldeira AT, Martins R, Burke AJ. Insights into (S)-rivastigmine inhibition of butyrylcholinesterase (BuChE): Molecular docking and saturation transfer difference NMR (STD-NMR). Bioorg Chem. 2016;67:105–9. http://dx.doi.org/10.1016/j.bioorg.2016.06.002
  54. Xiao G, Li Y, Qiang X, Xu R, Zheng Y, Cao Z, et al. Design, synthesis and biological evaluation of 4’-aminochalcone-rivastigmine hybrids as multifunctional agents for the treatment of Alzheimer’s disease. Bioorganic Med Chem. 2017;25(3):1030–41. http://dx.doi.org/10.1016/j.bmc.2016.12.013
  55. Girek M, Szymański P. Tacrine hybrids as multi-target-directed ligands in Alzheimer’s disease: Influence of chemical structures on biological activities. Chem Pap. 2019;73(2):269–89. http://dx.doi.org/10.1007/s11696-018-0590-8
  56. Zha X, Lamba D, Zhang L, Lou Y, Xu C, Kang D, et al. Novel Tacrine-benzofuran hybrids as potent multitarget-directed ligands for the treatment of Alzheimers disease: Design, synthesis, biological evaluation, and X-ray crystallography. J Med Chem. 2016;59(1):114–31. http://dx.doi.org/10.1021/acs.jmedchem.5b01119
  57. Chioua M, Buzzi E, Moraleda I, Iriepa I, Maj M, Wnorowski A, et al. Tacripyrimidines, the first tacrine-dihydropyrimidine hybrids, as multi-target-directed ligands for Alzheimer’s disease. Eur J Med Chem. 2018;155:839–46. http://dx.doi.org/10.1016/j.ejmech.2018.06.044